Systematic review and meta-analysis of third-line salvage therapy with infliximab or cyclosporine in severe ulcerative colitis

Joseph D. Feuerstein, Mona Akbari, Elliot B. Tapper, Adam S. Cheifetz,

Beth Israel Deaconess Medical Center, Harvard Medical School, Boston, USA

Department of Medicine and Division of Gastroenterology, Beth Israel Deaconess Medical Center, Harvard Medical School, Boston, USA

Correspondence to: Joseph D. Feuerstein, MD, Department of Medicine and Division of Gastroenterology, Beth Israel Deaconess Medical Center, Harvard Medical School, 110 Francis Street 8E, Boston MA 02215, USA, e-mail: jfeuerst@bidmc.harvard.edu
Received 19 February 2016; accepted 22 March 2016; published online 7 April 2016
DOI: http://dx.doi.org/10.20524/aog.2016.0032
© 2016 Hellenic Society of Gastroenterology

Abstract

Background In patients with ulcerative colitis who fail corticosteroids and are treated with rescue therapy (e.g. infliximab or cyclosporine) but fail to respond, salvage therapy with infliximab or cyclosporine can be considered. We sought to assess the efficacy and safety of this third-line salvage therapy.

Methods We performed a meta-analysis of trials published in PubMed up to January 2015 relating to the use of third-line salvage therapy following failure of intravenous corticosteroids and infliximab or cyclosporine. Pooled outcome rates for each salvage strategy and pooled odds ratio comparing the two strategies were calculated using the random effects model. Heterogeneity was assessed by the Q and I2 statistics.

Results The search strategy yielded 40 articles of which 4 were eligible for inclusion. Four articles assessed patients who were treated with infliximab after failure of cyclosporine and 2 articles assessed the use of cyclosporine after failure of infliximab. There were 138 patients using infliximab as a third-line salvage therapy and 30 patients using cyclosporine. When comparing these two strategies, there was no significant difference in clinical response (RR 1.03, 95%CI 0.7-1.46 P=0.87), clinical remission (RR 0.69, 95%CI 0.30-1.57 P=0.37), or colectomy at 12 months (RR 1.14, 95%CI 0.79-1.67 P=0.48). Similarly, there was no significant difference in total (RR 1.91, 95% CI0.38-9.64 p=0.43) or serious adverse events (RR 1.18, 95%CI 0.34-4.07 P=0.80).

Conclusions While third-line salvage therapy may be efficacious in achieving short-term clinical response/remission, there remains a significant risk of colectomy and adverse events.

Keywords: Ulcerative colitis, infl iximab, cyclosporine, salvage therapy

Ann Gastroenterol 2016; 29 (3): 341-347


Introduction

Ulcerative colitis (UC) is a chronic idiopathic inflammatory bowel disease that can be associated with severe flares requiring hospitalizations in up to 25% of patients [1]. While the majority of patients admitted with severe UC will respond to intravenous steroids, one-third will require rescue therapy with infliximab, cyclosporine, or colectomy [2].

Cyclosporine has been shown to be effective in 64-82% of patients with UC failing intravenous corticosteroids [3,4]. Infliximab was later shown to be effective in this situation with similar efficacy [5]. Recently, a randomized controlled trial of infliximab versus cyclosporine for rescue therapy found response rates of approximately 85% at 7 days, and sustained response of 40-50% with either drug three months later [6]. Nevertheless, a substantial number of patients fail rescue medical therapy. Many would argue that in this situation colectomy is the appropriate choice, but some patients wish to avoid surgery. There are a number of studies that have assessed the efficacy and safety of salvage therapy with infliximab or cyclosporine following the failure of the other medication. However, these studies are small and none are randomized trials to assess the true efficacy of this therapy [7-11]. The most recent UC guidelines from the European Crohn’s and Colitis Organisation (ECCO) state that using salvage therapy with a third drug is associated with significant risks but this can be considered in highly selected cases and only in special referral centers [12].

Given the limited data regarding the efficacy and safety of third-line salvage therapy following initial treatment with either infliximab or cyclosporine for intravenous steroid-refractory UC, we sought to perform a systematic review and meta-analysis of the studies evaluating this situation with the primary outcomes of clinical remission and serious adverse events.

Materials and methods

We performed an online search using PubMed (National Center for Biotechnology Information) to identify papers published between 1960 and 2015 using infliximab or cyclosporine as third-line salvage therapy in patients with UC who failed intravenous corticosteroids and rescue therapy with infliximab or cyclosporine. Our search on PubMed was performed on January 1, 2015 with the following Mesh and text terms:

(“Colitis, Ulcerative”[Mesh] OR “ulcerative colitis”[tiab] OR “ulcerative proctitis”[tiab] OR “proctosigmoiditis”[tiab] OR “left-sided colitis”[tiab] OR “pan-ulcerative colitis”[tiab] OR “colitis”[tiab]) AND (“Salvage Therapy”[Mesh] OR “salvage therapy”[tiab] OR “rescue therapy”[tiab]) AND (“infliximab”[Supplementary Concept] OR “infliximab”[tiab] OR “infliximab exposed”[tiab] OR “infliximab failure”[tiab] OR “infliximab failures”[tiab] OR “infliximab exposure”[tiab]) AND (“Cyclosporine”[Mesh] OR “cyclosporin”[tiab] OR “cyclosporine exposure”[tiab] OR “ciclosporin”[tiab] OR “ciclosporin exposed”[tiab] OR “ciclosporin exposure”[tiab]) This search resulted in 30 manuscripts. Each manuscript was reviewed to determine if the therapy involved was consistent with our study regarding third-line salvage therapy.

Inclusion criteria

Any article published and indexed on PubMed that assessed the use of infliximab or cyclosporine as third-line salvage therapy following the initial failure of intravenous corticosteroids and either infliximab or cyclosporine. In order to be included, the use of the third-line agent had to be within 60 days of cessation of the prior drug.

Exclusion criteria

Articles not indexed on PubMed were excluded. Abstracts only presented at a medical conference but not published as a manuscript were not included. Additionally, case reports of only a single patient and review articles were also excluded.

Outcomes

Our primary outcomes were clinical remission and serious adverse events associated with each drug and in aggregate. Secondary outcomes included clinical response and 12 month colectomy rates.

Data extraction

Articles were reviewed independently by two authors (JDF, MA) for publication date, type of salvage therapy (infliximab, cyclosporine) number of patients, response, remission, failure/colectomy, and any complications. Clinical remission was defined as normalization of bowel movement to <4/day without bleeding and off corticosteroids. Serious adverse events were infection or death.

Quality assessment

Given the few studies that were available on this topic, all studies were included.

Statistical analysis

Pooled estimates of primary and secondary outcome response rates for third-line salvage therapy were calculated using the random effects model. Similarly, the random effects model was used to calculate pooled odds ratio and 95% confidence intervals (CI) for studies that compared outcomes between the two third-line salvage therapies. Heterogeneity was assessed by the Q and I2 statistics. All analysis was performed using STATA (Version 12.0; STATA Corporation, College Station, TX, US).

Results Our PubMed search yielded 40 articles of which 5 specifically evaluated third-line salvage therapy in severe refractory hospitalized UC (Fig. 1) [7-11]. One manuscript was a case report of a single patient and therefore excluded from further analysis [8]. The remaining four articles included patients treated with infliximab following failure of cyclosporine [7,9-11]. However, only two of the articles, Maser et al and Leblanc et al, also included patients who were switched to cyclosporine after failing infliximab [9,10]. There were 138 patients who received infliximab and 30 patients treated with cyclosporine as a third-line salvage therapy. In each of the studies, patients were retrospectively evaluated from 2000-2008. Maser et al was a single-center US study whereas the other studies were multi-center studies performed in Europe. All the studies were designed retrospectively. See Table 1 for full demographics of the study populations.

thumblarge

Figure 1 Search and study selection process

Table 1 Demographics

thumblarge

Infliximab following cyclosporine as third-line salvage therapy

In the studies assessing salvage therapy with infliximab following cyclosporine usage, the mean age of the patients was 35 and 41% (57/138) were female. The average duration of disease was 3.8 years. However, the European studies had a mean disease duration of 2.2 years compared to 8.6 in the United States study. Sixty-six percent of patients (91/138) had extensive colitis and 49% (67/138) were previously or concomitantly on a thiopurine or methotrexate. There was a mean of 11 days (range 2-19) between the last dose of cyclosporine and the initial dose of infliximab.

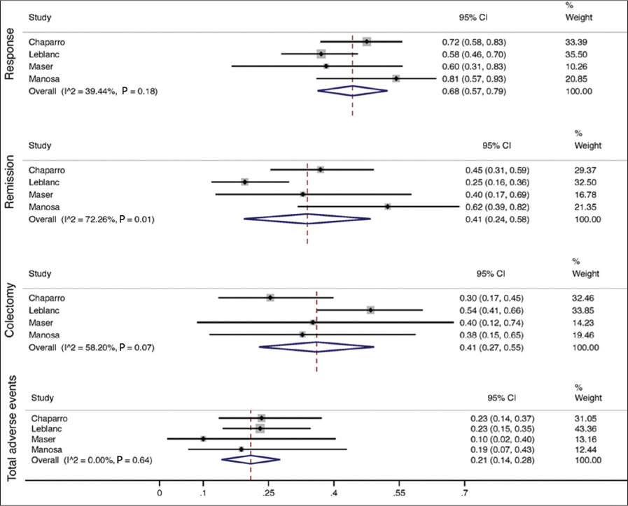
The pooled clinical response and remission event rate for infliximab as third-line salvage therapy was 68% (95%CI 57-79%) and 41% (95%CI 24-58%) respectively at 3 months. The 12-month colectomy event rate was 41% (95%CI 27-55%) (Fig. 2).

thumblarge

Figure 2 Pooled response, remission, colectomy and adverse events for third-line cyclosporine to infliximab salvage therapy

Of the 138 patients in these studies, when assessed in aggregate, 3 patients died (2.2%) and 14 patients (10.1%) developed an infectious complication during the study period (Table 2). Other complications included leukopenia, infusion reaction, skin rash, renal abnormalities, and small bowel obstruction. The serious adverse event rate was 9% (95% CI 4-14%), while the overall adverse event rate was 21% (95%CI 14-28%) (Fig. 2).

Table 2 Complications of therapy

thumblarge

Cyclosporine following infliximab as third-line salvage therapy

In the two studies assessing salvage therapy with cyclosporine following infliximab therapy the mean age of the patients was 42 and 43% (13/30) of patients were female. The average duration of disease was 6.7 years and the majority of patients (77%, 23/30) had extensive colitis. Seventy-three percent (22/30) of patients were previously or concomitantly on a thiopurine or methotrexate. There was a mean of 20 days (range 19-21) between the last dose of infliximab and starting cyclosporine.

The overall response and remission event rates was 60% (95% CI 43-78%) and 18% (95%CI 4-31%) respectively at three months. The 12-month colectomy event rate was 57% (95%CI 39-74%) (Fig. 3).

thumblarge

Figure 3 Pooled response, remission, colectomy and adverse events for third-line infliximab to cyclosporine salvage therapy

There were no deaths among patients observed in these studies, but 10% (3/30) of all the patients developed an infectious complication (Table 2). Other complications included renal and hepatic abnormalities, fatigue, leg cramps, weakness, cough, and pancreatitis. The serious adverse event rate was 12% (95%CI 0.01-23%), and total adverse event rate was 31% (95%CI 16-47%) (Fig. 3).

Comparison of third-line salvage therapies

Given that only two studies reported results on patients receiving salvage therapies with cyclosporine following infliximab and infliximab following cyclosporine the overall data was extremely limited. Meta-analysis comparing these two strategies did not demonstrate a significant difference in achieving clinical response (RR 1.03, 95%CI 0.7-1.46; P=0.87), remission (RR 0.69, 95%CI 0.30-1.57; P=0.37), or 12-month colectomy (RR 1.14, 95%CI 0.79-1.67; P=0.48) (Fig. 4). Similarly, there was no difference in serious adverse events (RR 1.18, 95%CI 0.34-4.07; P=0.80) or total adverse events (RR 1.91, 95%CI 0.38-9.64; P=0.43) (Fig. 4).

thumblarge

Figure 4 Forrest plot of response, remission, colectomy and adverse events for cyclosporine to infliximab versus infliximab to cyclosporine RR, relative risk

Discussion

Third-line salvage therapy with either infliximab or cyclosporine is of great interest as approximately 60% of patients may fail initial rescue therapy following a lack of response to intravenous steroids [6]. In our meta-analysis of the literature, the choice of infliximab or cyclosporine as a third-line agent did not provide any significant difference in response, remission, colectomy, or adverse events. Overall, 41% of patients achieved an initial remission when using infliximab as a third-line therapy which comparedto an 18% remission rate in those using cyclosporine as a third-line agent. However, by 12 months 41% of patients treated with infliximab and 57% of patients who received cyclosporine required colectomy. Additionally, both agents were associated with significant adverse events when used as a third-line agent (9% for infliximab and 12% for cyclosporine).

While many are intrigued by the idea of third-line salvage therapy, the overall benefits and safety of this option remain unclear. When considering the initial use of salvage therapy in patients failing intravenous steroids, Laharie et al randomized patients to either infliximab or cyclosporine and noted treatment failure in 54-60% of cases within 3 months [6]. Interestingly, in our study, additional salvage therapy with a third agent failed to achieve remission in 60-80% of cases. Furthermore, colectomy was still the outcome in 40-57% of the patients despite the use of a third-line therapy. Ultimately, the utility and risk benefit analysis of using a third-line salvage therapy is unclear at this time.

The decision regarding a third-line salvage therapy is usually urgent with colectomy being the only other option. Given the severely active disease, the ability to allow the prior drug to washout of the patient’s system is usually not feasible. In our meta-analysis, the average interval between cyclosporine to infliximab was 11 days and the interval between infliximab to cyclosporine was 20 days. The data regarding the efficacy and safety of an immediate transition from one drug to the next is extremely limited. Therefore, the generalizability of these studies to patients who were just dosed with either cyclosporine or infliximab with a plan to salvage with a third-line drug is unclear. It is possible that the risk of serious adverse events may be even higher in this setting given the immunosuppression with corticosteroids, combined with the recently stopped immunosuppressive agent, and with the new added third-line salvage drug. Already, our study notes that the risk of serious adverse events is high even with a small washout period of 11-20 days. As a result, it is yet another reason to be extremely cautious when considering the use of third-line salvage therapy as an option.

When using rescue therapy for steroid refractory UC, Laharie et al reported complication rates of 16% in patients treated with cyclosporine and 25% in those treated with infliximab [6]. When these agents are then used as third-line salvage therapy we found a similar risk of serious adverse events of 9% with infliximab and 12% with cyclosporine. Though there was no significant difference in complications 2% of patients treated with infliximab following cyclosporine died compared to no deaths reported in the group that received cyclosporine following infliximab [13]. It is unclear if this is truly related to cyclosporine third-line therapy being safer or just due to the limited number of patients (n=30) given cyclosporine after infliximab. What is especially concerning about the mortality associated with third-line therapy, is that this mortality rate is slightly higher than what is reported following colectomy in the setting of acute severe UC [14]. To use a drug that carries a higher rate of death compared to colectomy raises important questions regarding the safety of this option.

As new drugs become available to treat UC, it remains unclear if any will be effective as rescue therapy options. Currently, vedolizumab, an anti α4/β7 integrin monoclonal antibody, is the newest drug available to treat UC [15]. While its overall efficacy in treating UC is clear, the utility of this drug in the setting of a severe flare is unlikely to be effective. The drug works by antagonizing the integrin receptor and thereby blocking lymphocyte migration to the gastrointestinal mucosa [15,16]. It does not however treat the active inflammatory process quickly which is needed in cases of steroid refractory UC [16]. Ultimately, new drugs are needed that work on the active inflammatory process to further the armamentarium from the current two drug option when failing rescue therapy.

As with any meta-analysis, our study has a number of limitations most of which are due to the nature of the studies reviewed. All the manuscripts included in our study were retrospective. The total number of patients in the cyclosporine salvage therapy following infliximab was smaller and included in only two studies somewhat limiting our comparison between the groups. Additionally, the study follow up time period between studies was variable limiting the ability to provide response and remission rates at 12 months.

In conclusion, third-line salvage therapy with either cyclosporine or infliximab is efficacious in some patients but carries a significant risk of complications. Importantly, 41-57% of these patients will end up requiring a colectomy within 12 months. Future studies are needed to prospectively evaluate the benefits and risks of this strategy compared to colectomy.

Summary Box

What is already known:


  • 25% of patients with ulcerative colitis (UC) will have a flare requiring admission for intravenous steroids

  • Up to 60% of patients will fail salvage therapy in UC

  • Both cyclosporine and infliximab have been tried as third-line salvage agents for UC

What the new findings are:


  • Infliximab and cyclosporine third-line therapy are associated with a pooled response rate of 68% and 60%, respectively

  • Infliximab and cyclosporine third-line therapy are associated with a pooled remission rate of 41% and 18%, respectively

  • The 12-month colectomy rates were 41% for infliximab and 57% for cyclosporine

  • The drugs are associated with serious adverse event rates of 9% with infliximab and 12% with cyclosporine

References

1. Feuerstein JD, Cheifetz AS, Ulcerative colitis:epidemiology, diagnosis, and managementMayo Clin Proc 2014; 89: 1553-1563.

2. Turner D, Walsh CM, Steinhart AH, Griffiths AM, Response to corticosteroids in severe ulcerative colitis:a systematic review of the literature and a meta-regressionClin Gastroenterol Hepatol 2007; 5: 103-110.

3. Lichtiger S, Present DH, Kornbluth A, Cyclosporine in severe ulcerative colitis refractory to steroid therapyN Engl J Med 1994; 330: 1841-1845.

4. D’Haens G, Lemmens L, Nevens F, Intravenous cyclosporine versus intravenous corticosteroids as single therapy for severe attacks of ulcerative colitisGastroenterology 2001; 120: 1323-1329.

5. Järnerot G, Hertervig E, Friis-Liby I, Infliximab as rescue therapy in severe to moderately severe ulcerative colitis:a randomized, placebo-controlled studyGastroenterology 2005; 128: 1805-1811.

6. Laharie D, Bourreille A, Branche J, Ciclosporin versus infliximab in patients with severe ulcerative colitis refractory to intravenous steroids:a parallel, open-label randomised controlled trialLancet 2012; 380: 1909-1915.

7. Chaparro M, Burgueno P, Iglesias E, Infliximab salvage therapy after failure of ciclosporin in corticosteroid-refractory ulcerative colitis:a multicentre studyAliment Pharmacol Ther 2012; 35: 275-283.

8. Lam EC, Bailey RJ, Infliximab salvage therapy after cyclosporine in an acute flare of chronic ulcerative colitisCan J Gastroenterol 2003; 17: 198-200.

9. Leblanc S, Allez M, Seksik P, Successive treatment with cyclosporine and infliximab in steroid-refractory ulcerative colitisAm J Gastroenterol 2011; 106: 771-777.

10. Maser EA, Deconda D, Lichtiger S, Ullman T, Present DH, Kornbluth A, Cyclosporine and infliximab as rescue therapy for each other in patients with steroid-refractory ulcerative colitisClin Gastroenterol Hepatol 2008; 6: 1112-1116.

11. Manosa M, Cabre E, Garcia-Planella E, Decision tree for early introduction of rescue therapy in active ulcerative colitis treated with steroidsInflamm Bowel Dis 2011; 17: 2497-2502.

12. Dignass A, Lindsay JO, Sturm A, Second European evidence-based consensus on the diagnosis and management of ulcerative colitis part 2:current managementJ Crohns Colitis 2012; 6: 991-1030.

13. Dinesen LC, Walsh AJ, Protic MN, The pattern and outcome of acute severe colitisJ Crohns Colitis 2010; 4: 431-437.

14. de Silva S, Ma C, Proulx MC, Postoperative complications and mortality following colectomy for ulcerative colitisClin Gastroenterol Hepatol 2011; 9: 972-980.

15. Feagan BG, Rutgeerts P, Sands BE, Vedolizumab as induction and maintenance therapy for ulcerative colitisN Engl J Med 2013; 369: 699-710.

16. Cherry LN, Yunker NS, Lambert ER, Vaughan D, Lowe DK, Vedolizumab:an α4β7 integrin antagonist for ulcerative colitis and Crohn’s diseaseTher Adv Chronic Dis 2015; 6: 224-233.

Notes

Conflict of Interest: Dr Adam Cheifetz: Consulting from the following: Abbvie Laboratories, Janssen Pharmaceuticals, UCB, Takeda, Given Imaging, Prometheus Labs, Pfizer